-
20 載
電測設備“智”造商
400-8818-755
-
-
-
20 載
電測設備“智”造商
400-8818-755
-
20 載
電測設備“智”造商
400-8818-755
-
20 載
電測設備“智”造商
400-8818-755


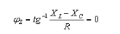
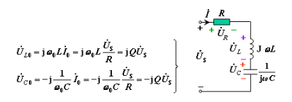
諧振時,阻抗的虛部為零值,阻抗角為零。

。可根據RLC串聯電路的電流是否達到最大來判斷電路是否發生了串聯諧振。 




